![]() |
| Do women have to complain that training makes them "bulky", because they're doing it right (high rep, low weight, short rest) while their boyfriends don't?... What? Don't worry, I am just kiddin'. |
Don't fool yourselves, there is no single best workout for the rest of 'us life -- periodize!
- Fink et al. investigated the effects of volume-matched resistance training (RT) regimen, and
- they tested both, the acute responses and long-term muscle and strength gains
McEndry et al. (2016) had stuck to the acute protein response to non-volume matched training regimen. That's not necessarily worse, but it limits the significance of the study results in a different way than the design of the more recent study by Fink et al., in which
Both groups performed each set to failure and used the same set of exercises: three biceps and three triceps exercises in form of"[t]wenty young athletes (members of a university gymnastics club) volunteered to participate in this study [with previous] weight training [experience of >2 years] were randomly assigned to either the SL group (30-s rest, 20 RM) or the long-rest and LH group (3-min rest, 8 RM) and performed the same number of sets and exercises for the arm muscles three times per week for 8 weeks" (Fink. 2016).
More protein helps more?!
- barbell curl,
- preacher curl,
- hammer curl,
- close grip bench press,
- French press and
- dumbbell extension
- The SL group did each exercise with a rest of 30 s between sets and exercises at 20 RM.
- The LH group rested 3 min between sets and exercises with a training intensity of 8 RM.
- In both groups, each set was performed to failure with a cadence of 1 s for the concentric and 2 s for the eccentric part of the movement.
- The training sessions were performed three times per week for 8 weeks and supervised by a staff of qualified personal trainers.
learn why this is important).
![]() |
| Figure 1: Acute growth hormone response to SL and LH workouts and the lack of correlation between acute GH increases and gains in terms of actual muscle circumference gains (CSA, right | Fink. 2016). |
Should I change my workout style now? No. If you're still making progress, I would not hectically change everything. What I would do, however, is to read up on periodization (learn more) and plan to change your workouts regularly using both lower and higher weights and shorter and longer inter-set rest times periodically and for your own benefit.
![]() |
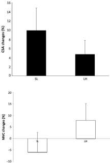
| Figure 2: Rel. size (top) and strength gains (bottom) over 8 weeks (Fink. 2016) |
Whether and in which way (corollary or mechanistically) the long-term extra gains in the SL group (see Figure 2, top) are related to the observation that the muscle thickness increased significantly only after a single bout of SL training (35 .2 +/- 16- 9%, P<0 05) (ES = 3 17), but not after a bout of LH training (13. 7 +/- 10. 8%) would warrant further investigation.
What appears to be easier to understand than the hypertrophy advantage of the SL training is the fact that the lack of heavy resistance training in the SL group (the SL group showed a non-significant decrease in strength of 5 .9 +/- 8. 6%; ES = 0 46) lead to a decrease in MVC in this group of previously resistance trained individuals (see Figure 2, bottom).
Shall you forget about long rest times? I understand that you gravitate towards simple solutions. Unfortunately, those simple solutions are the reason you are not making the gains you could make if you finally got rid of the stupid idea that there was one ideal workout routine, you'd just have to find and could then follow for the rest of your life.
How's that wrong? It's what the study says SL is better than LH, right? Well, the study at hand does indeed suggest that training with more reps and low(er) rest builds more muscle (note that the results could be very different for other muscles, e.g. the legs, or other trainees, i.e. rookies), while training with long(er) rest and more weight will boost strength gains. Eventually, however, the differences are (a) not statistically significant and (b) not independent of each other. Strength and size gains are not like the two sides of the same coin. They are yet also not unrelated.
Accordingly, the question is not whether you want size or strength/ power and thus train with short(er) rest and low(er) weights or long(er) rest and high(er) weights. No, making optimal gains is rather a question of balancing all three domains of "gains", i.e. size, strength and anaerobic power (Pasiakos. 2015) within a well-planned periodization regimen that would - if the volume is controlled for - favor size gains during the short rest, high rep / low weight and strength gains during the long rest, low(er) rep / high(er) weight phases | Comment!
References:![]() |
| Strength Plateau? Try Daily Changing Loads: To Boost 6-Week Strength Gains on All Major Lifts by ~40%. |
Accordingly, the question is not whether you want size or strength/ power and thus train with short(er) rest and low(er) weights or long(er) rest and high(er) weights. No, making optimal gains is rather a question of balancing all three domains of "gains", i.e. size, strength and anaerobic power (Pasiakos. 2015) within a well-planned periodization regimen that would - if the volume is controlled for - favor size gains during the short rest, high rep / low weight and strength gains during the long rest, low(er) rep / high(er) weight phases | Comment!
- Fink et al. "Effects of rest intervals and training loads on metabolic stress and muscle hypertrophy." Clin Physiol Funct Imaging (2016) - Ahead of print.
- Pasiakos, Stefan M., Tom M. McLellan, and Harris R. Lieberman. "The effects of protein supplements on muscle mass, strength, and aerobic and anaerobic power in healthy adults: a systematic review." Sports Medicine 45.1 (2015): 111-131.
- Schoenfeld, Brad J., et al. "Effects of low-vs. high-load resistance training on muscle strength and hypertrophy in well-trained men." The Journal of Strength & Conditioning Research 29.10 (2015a): 2954-2963.
- Schoenfeld, Brad J., et al. "Longer inter-set rest periods enhance muscle strength and hypertrophy in resistance-trained men." Journal of strength and conditioning research/National Strength & Conditioning Association (2015b).








