![]() |
| A physique like this is partly a result of insulin management not of zero insulin! |
Today, every child appears to know: "Insulin and cortisol make you fat. Cortisol is the mothref*cker that gave papa a heart attack and insulin is the bitch that's responsible that mommy needs two instead of one seat on the plane. Damn b*tches, these hormones."
Fasting almost certainly will increase insulin clearance, too - and there are other benefits:
Think of insulin and cortisol as aunty Mary and uncle Herbert. You remember? When you were a child it was always great when Mary came visiting, because she usually brought candy and chocolate. On day 3 of her visit, though, you were sick from eating all the candy and chocolate and hoping that Mary would finally pack her bags (including her candy) and leave.
Now, the whole insulin thingy is already difficult enough to understand if we don't describe it using analogies and metaphors, that's why we will leave - at least for the time being - aunty Mary (and uncle Herbert) with the insulin/cortisol fairy and devote our time to the real deal: science!
The (forgotten & incomplete) science of "insulin clearance" (in the broadest sense), ...
... to be specific (more about cortisol in part II of this article | see red box), i.e. the science of how to get rid of the "b*tch" when you're fed up with her... Ah, I forgot we wanted to stick to the science, sorry! So, how do we get rid of a substance a Merriam-Webster (for kids) defines (much better than the original dictionary, by the way) as...
"[...] a hormone made by the pancreas that helps the cells in the body take up glucose from the blood and that is used to treat diabetes." (Merriam-Webster for Kids)Well, we "metabolize" and "clear" it. A process that has - much in contrast to the production of insulin - not gotten enough attention by both the medical (goal = optimal health... or was it selling drugs?) and fitness (goal = balance between optimal health, physique, and performance) community. Why's that? Well, that's what I want to take you away from this highly educative article, of which I haven't told you, yet, that it accompanies a podcast I have recorded with Szoták András: PUT LINK HERE
- Insulin spikes are not your enemy: The first thing you should remember from dozens of previous SuppVersity articles about insulin and insulin resistance to understand why its clearance is as important as its production is that it's not the dreaded insulin peak in response to a high-carb (+high GI and or high glycemic load (GL)) meal that's threatening your health.
In fact, these spikes are an appropriate response to the sudden (and physiologically significant) increase in blood glucose levels. You can see what would happen to you if your pancreas could (no longer) spill out enough insulin in response to Mr. Average's beloved (allegedly "healthy") breakfast cereals in type I diabetics: excessive thirst, increased urination, blurred vision, fatigue, restlessness, dry mouth, itching skin, tingling in feet or heels, lame dick, heart problems, etc.![]()
You really want to have low insulin at all times? Congrats. The insulin fairy has granted your wish and you'll now be developing all the symptoms of type I diabetes as they are illustrated in this highly educative material from the Nursing Education Consultants (2007).
So, low carb zealots, please don't tell me ever again you don't want your body to produce the amount of insulin that's necessary to get rid of the extra-amount of glucose in your body as fast as possible. - Hypoglycemic spells and chronically elevated insulin are your enemies: Insulin spikes, you should have understood that by now, are not a problem per se. They can be, though - namely if they are extreme, as this would signal (beginning) insulin resistance. In fact, the same rapidly declining glucose levels some see after ingesting a sugary beverage are not a sign of optimal glucometabolic health. The opposite is the case and I've written about the bad effects of the ensuing hypoglycemia and how what you may intuitively believe would help you burn body fat can, in fact, make you fat in a stand-alone article years ago (read it, bro!).
What? Oh, no - I haven't forgotten uncle Herbert (=cortisol). We will get to him and how the excitement of having uncle Herbert declines exponentially within no time in a follow-up article... at least if you say that you liked this one.
- Now, the previously hinted at goal of "optimal glucometabolic health" and its characteristic - relatively stable blood glucose levels can be achieved, only if ...
- your pancreas is (still) working properly, detects changes in blood glucose levels rapidly and accurately, and begins, as the first step of the glucoregulatory response to a (sugary) meal, to pump out insulin...
- your cells (not just muscle cells, but all the cells in your body, including fat cells) respond appropriately (=insulin sensitivity) to the insulin from the pancreas so that, in a second step, the cells start sucking up the superfluous glucose from your blood...
- other organs (primarily the liver) that are involved in glucoregulation notice the increase in insulin and, in the third step, stop their attempts to stabilize your blood glucose levels (a process that's vital in the fasting state) to balance your blood glucose levels via glycolysis or gluconeogenesis...
- and if (and this is where we get to the often overlooked off switch for insulin signaling I highlighted in my interview with Szoták on the Muscle Engineer Podcast ...
you get rid of the 'good insulin' (=insulin clearance) as soon as it is no longer 'good' (=necessary to power your cells w/ glucose and lower postprandially elevated the blood glucose levels into the normal range), because otherwise it's going to show all the ugly faces the insulin fairy (or her personal assistant Gary Taubes) has been told you about to scare you away from eating carbohydrates, in general, and simple sugars in particular.![]()
No one talks about insulin clearance, but when + how fast insulin leaves your body is as important for your health & physique as it's pancreatic production.
Unfortunately, this is where the aunt Mary metaphor starts to break. How so? Well, as kids, you all will have thought about getting rid of aunt Mary, again, but have you ever thought about getting rid of already produced insulin by clearing it via your liver and other organs... right, that's what I expected.
I know that I know (almost) nothing about insulin clearance
Don't worry, though, you are in good company - even researchers don't seem to really care about what happens to insulin once it has done its job at the receptors (compare Figure 1):
T2DM& co.
Let's assume for the time being insulin clearance is one important factor - How do I increase it?
If you've been asking yourself that exact question. The first thing you should do is rephrase it. The question to ask is not "How to increase...?", but - as it is the case with insulin itself, "How to optimize my insulin clearance?". An increase in insulin clearance that would leave you with tons of glucose in the blood, because your liver simply dumps all the insulin before it can do its job would, after all, be bad news for anyone, from the obese diabetic to the jacked super insulin-sensitive athlete.
Now, I have to admit that in view of the previously highlighted lack of specific research in this area, it is difficult to answer this question confidently. But here is some food for thought:
Inhibiting insulin clearance to lower blood glucose - a double-edged sword: As you've learned in this article, some drugs, such as aspirin or fenofibrates, as well as supplements like zinc (and possibly even whey and casein) which have been found to improve glucose management, especially in type II diabetics, work - at least in part - by inhibiting the clearance of insulin. While this does lead to a temporary reduction in glucose, it will also perpetuate the vicious cycle of chronically elevated insulin levels that's at the heart of the progression from insulin resistance to T2DM. For someone who is insulin sensitive, using these to "optimize" his glucose metabolism is thus as stupid as "buttering your potatoes to reduce their glycemic load" (more).
So what should you take home from this? If you're the average dude from my local gym who just wants to be jacked (and once you're jacked, maybe healthy, too =), there's relatively little in terms of practical advice that you're not already following... while, in theory, you'd have to do everything to keep your insulin clearance rates high to get rid of insulin soon as you do no longer need elevated levels to handle postprandially increased glucose levels, the way/s to do so are remarkably similar to the things you will hopefully already be doing to stay healthy (avoid SSBs and alcohol to keep your liver in shape, as well as food combinations that prolong the elevation of insulin in your blood etc.).
That's why I would like to (re-)emphasize that I am not suggesting that managing one's insulin clearance is the be-all-end-all of glucose management and diabetes protection. It is, however, just like insulin itself, an important determinant of optimal (gluco-)metabolic health that has hitherto (in my humble opinion) gotten way too little attention in both, the pro- and bro-science community.
So, ideally, someone from the former group of people feels inspired to include insulin clearance rates in his/her future research so that we can start putting a number on its influence on health and disease, as well as more vain endeavors like getting ripped, jacked or whatever else your current life-goal may be | Comment on Facebook!References:
I know that I know (almost) nothing about insulin clearance
Don't worry, though, you are in good company - even researchers don't seem to really care about what happens to insulin once it has done its job at the receptors (compare Figure 1):
T2DM& co.
What is insulin clearance, how does it relate to hepatic insulin extraction, and how do we measure it? Insulin clearance is, on the most fundamental level, the removal of insulin from your bloodstream. In that, it is an umbrella term that includes hepatic insulin extraction [HEI], as well as other physiological processes that will remove insulin from the blood. These include insulin uptake and metabolism by cells in the periphery (immune cells, muscle cells, etc. | Benzi 1994; Egglestone 2007). The lion's share of insulin is however removed in the liver and/or kidneys. In that, the hepatic insulin clearance is almost twice as fast (320-400 ml/min) than the renal insulin clearance (190-270 ml/min | estimates from Turnheim 1988), which emphasizes, once again, the paramount importance of a well-functioning liver for optimal metabolic health. If you want to avoid running around with chronically elevated insulin levels and suffering the life-threatening long-term consequences, you'd thus better be paying attention to the health of your liver and kidneys.
One of the reasons we don't know that much about insulin clearance is that it is rarely measured in pertinent trials. In fact, even if scientists report corresponding data, it's usually an approximation of the actual clearance rate as the ratio of C-peptide to insulin. While both are co-secreted by the pancreas, only insulin is cleared. If there was no clearance of insulin, the ratio should remain constant. Accordingly, increases and decreases of this ratio signify increases and decreases of the metabolic clearance of insulin (MCI). Other methods are more complicated and usually rely on the use of exogenous radiolabelled insulin, which - that should be obvious - won't adequately reflect what's actually going on in your body after a meal because insulin clearance and production are so intricately intertwined that the provision of insulin via infusion interferes with what Meier et al. (2005) showed to be somewhat like 'insulin ping-pong' .
Ping-pong? Yeah... sort of: As previously hinted at, we know astonishingly little about the interaction between production and clearance two processes, i.e. the production and clearance of insulin of which an older paper by Meier et al. (2005) suggests that it's almost like an 'insulin ping-pong' with each, i.e. the release and clearance of insulin taking place in pulses. Check out the figure to the left which shows (A) the insulin secretion rates, (B) the plasma concentrations before passing through the liver, (C) the serial insulin clearance rates, and (D) the corresponding plasma insulin concentration after passing through the liver in the same healthy individual.
The existence of this 'ping-pong' relationship between insulin production and clearance is an important observation. Especially in view of the fact that Meier et al.'s data also shows that, in humans, "ca. 80% of endogenously secreted insulin is extracted during the first liver passage" (Meier 2005) - or, in other words, 80% of the insulin that's produced with a 'single pump' of the pancreas won't do more than one round in your circulation. That's an important observation as it emphasizes that a healthy body will constantly readjust your insulin levels instead of estimating your requirements once to then release the corresponding amount of insulin into the bloodstream and wait for your blood glucose levels to normalize (it should be obvious that this method would be significantly more prone to produce bouts of hyper- or hypoglycemia).
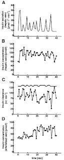
Let's take the well-known negative effect of free fatty acids on your ability to effectively control your blood glucose levels as an example. As you may remember from previous SuppVersity articles, they (partly) explain why high fat + high carb diets are much better at inducing T2DM than low fat + high carb diets. What you probably didn't know is that they contribute not just by impairing glucose uptake by your cells, but the hepatic extraction and subsequent clearance of insulin, as well (Wiesenthal 1999). Abundant free fatty acid levels (and high trigs) have also been linked to increased liver fat (a characteristic feature of NAFLD) which - you probably guessed it, already - isn't just associated with insulin resistance, but also with a significantly decreased insulin clearance and hyperinsulinemia (Kotronen 2007). If you know all that, you shouldn't be surprised to read that ...![]() |
| Insulin "ping-pong", i.e. the pulsatile release + extraction / clearance of insulin as observed in Meier (2005) | further details about (A)-(D) in the text on the right. |
Ping-pong? Yeah... sort of: As previously hinted at, we know astonishingly little about the interaction between production and clearance two processes, i.e. the production and clearance of insulin of which an older paper by Meier et al. (2005) suggests that it's almost like an 'insulin ping-pong' with each, i.e. the release and clearance of insulin taking place in pulses. Check out the figure to the left which shows (A) the insulin secretion rates, (B) the plasma concentrations before passing through the liver, (C) the serial insulin clearance rates, and (D) the corresponding plasma insulin concentration after passing through the liver in the same healthy individual.
The existence of this 'ping-pong' relationship between insulin production and clearance is an important observation. Especially in view of the fact that Meier et al.'s data also shows that, in humans, "ca. 80% of endogenously secreted insulin is extracted during the first liver passage" (Meier 2005) - or, in other words, 80% of the insulin that's produced with a 'single pump' of the pancreas won't do more than one round in your circulation. That's an important observation as it emphasizes that a healthy body will constantly readjust your insulin levels instead of estimating your requirements once to then release the corresponding amount of insulin into the bloodstream and wait for your blood glucose levels to normalize (it should be obvious that this method would be significantly more prone to produce bouts of hyper- or hypoglycemia).
- Bonora et al. (1983) observed as early as in the 1980s that "in subjects with a more severe degree of glucose intolerance, decreased hepatic insulin removal is the primary cause of hyperinsulinemia" (Bonora 1983); their results corroborated contemporary research by Rossell et al. (1983) who found hepatic insulin extraction to be sign. reduced in obesity;
- Osei et al. (2004) confirmed a reduced hepatic insulin extraction (-25%) was a significant predictor of future diabetes in 81 healthy African Americans; this link seems to be particularly profound in African Americans, but it's not AA-exclusive and research suggests relevant differences to Caucasians for Mexican-Americans, too (Goodarzi 2005);
- many studies have identified a reduced rate of insulin clearance as "early change to maintain glucose uptake and metabolic status" (Kaga 2017) which occurs in the face of progressing insulin insensitivity due to - you guessed it - reductions in fitness and an abundance of (body-)fatness (as it is so often the case, though, it's not 100% clear what comes first: fat- and laziness or impaired insulin clearance; what's certain is that both perpetuate the vcious cycle leading to T2DM I illustrated in Figure 3);
- the diabetes-susceptible gene SLC30A8/ZnT8, one of the genes that predict your risk of developing diabetes, regulates hepatic insulin clearance (Tamaki 2013)
- Goodarzi et al. (2011) have identified insulin clearance as one, if not the most important determinant of fasting insulin levels - the insulin marker which shouldn't be chronically elevated unless you're a suicidal masochist who wants to find out what kills him first: mere T2DM, cancer, or any form of cardiovascular disease (CVD)...
- a relevance of which Pivovarova et al. (2013) highlight in the conclusion to a 2013 paper, which utilized data from oral glucose tolerance tests of almost 1000 subjects with and without metabolic syndrome from the "Metabolic Syndrome Berlin Brandenburg (MeSyBePo) study", that there's a significant association of (hepatic) insulin clearance (HIC) ...
"[...] with different components of metabolic syndrome and markers of insulin secretion and insulin sensitivity [which in turn suggests that d]ecreased HIC may represent a novel pathophysiological mechanism of the metabolic syndrome, which may be used additionally for early identification of high-risk subjects" (Pivovarova 2013);
a result that is, by the way, only the repeated confirmation of previous studies investigating only individual aspects of the metabolic syndrome and the progression from impaired insulin resistance to T2DM and their relationship to (impaired) insulin clearance; and ... - a context that is characterized by a vicious cycle most of you will know pretty well (see Figure 3); a vicious cycle in which an impaired insulin clearance would add to the classic etiology of (type II) diabetes. An etiology at the heart of which you can find the self-perpetuating cycle of insulin resistance ⇒ hyperglycemia + hyperinsulinemia ⇒ even greater insulin resistance ⇒ even greater hyperglycemia + hyperinsulinemia ⇒ [...] ⇒ hyperglycemia w/ inadequate insulin levels (=full-blown T2DM requiring exogenous insulin); a vicious circle of which it seems (as of today) that originates from (usually obesity-related) chronic inflammation.
To elucidate how important the contribution of an impaired hepatic and peripheral (see infobox "What is insulin clearance, ..."↺) is and whether we have to think of it as collateral damage or a significant contributor to the development of T2DM/metabolic syndrome is probably not possible based on the currently available evidence; and if it was, it's beyond the scope of this article.
Let's assume for the time being insulin clearance is one important factor - How do I increase it?
If you've been asking yourself that exact question. The first thing you should do is rephrase it. The question to ask is not "How to increase...?", but - as it is the case with insulin itself, "How to optimize my insulin clearance?". An increase in insulin clearance that would leave you with tons of glucose in the blood, because your liver simply dumps all the insulin before it can do its job would, after all, be bad news for anyone, from the obese diabetic to the jacked super insulin-sensitive athlete.
Now, I have to admit that in view of the previously highlighted lack of specific research in this area, it is difficult to answer this question confidently. But here is some food for thought:
- When it comes to drugs, there's little research distinguishing effects on insulin production and clearance - for the following drugs we do yet have some studies:
- Some classic anti-diabetes drugs can increase insulin clearance significantly; one example is rosiglitazone a PPAR-gamma activator which increases insulin clearance by 20% in overweight drug-naive patients with type 2 diabetes.
- More widely prescribed drugs such as the AMPK promoter metformin seem to have no independent effect on insulin clearance (Tiikkainen 2004).
- Llipid-lowering drugs such as fenofibrates (Ramakrishnan 2016), will impair one's insulin clearance, an effect they share with aspirin (Bratusch-Marrain 1985) and the SERMraloxifene (Nagamani 2018). What's interesting, though, is that all of them will decrease the amount of glucose in your blood, a decrease that's due to the prolonged periods of increased insulin levels and not as some people misleadingly concluded due to improvements of the subjects' insulin sensitivity (in fact, in the long-term the effects could be highly detrimental).
- Exercise works - almost needless to say, since exercise helps with everything, the evidence (from human studies) that it helps with insulin clearance, too, is yet somewhat skinny:
- Touminen et al report that "exercise increases insulin clearance in healthy man [+9%, p < 0.05] and insulin‐dependent diabetes mellitus patients [+15%, p < 0.05]" (Tuominen 1997 | their results are corroborated by various studies in rats (e.g. Karauti 2016)).
In their study the Finish researchers examined the effect of exercise on insulin clearance using a euglycemic insulin clamp in 28 healthy men either 12 h after a marathon run (n=14) or 44 h after a 2‐h treadmill exercise (n=14), as well as in seven insulin‐dependent diabetes mellitus (IDDM) patients 12 h after a marathon run. The analysis of the glucose, insulin and c-peptide levels and their comparison to the values at rest on a control day yielded the previously cited changes (+9% in healthy and +15% in diabetic patients) results, of which I'd say that they speak for themselves. - What is absolutely not clear, yet is whether "cardio" or resistance training would be the preferable form of training. In view of the metabolic effects, I would yet bet on "cardio"(at least if not compared to really high volume training).
- At least related to exercise is also the link between insulin clearance and elevations of the falsely dreaded "inflammatory cytokine" IL-6, which peaks in response to intense (often muscle damaging) exercise. For those who don't know that from previous SuppVersity articles, IL-6 is a signaling molecule, which is often misunderstood as a mere signal of muscle damage and oxidative stress. It will however not just ramp up your insulin clearance significantly (Karauti 2017), but has also been shown to play an important part in the whole adaptive response to exercise (keyword: hormesis). From a practical perspective, the link between IL-6 and this would suggest that the more intense your workouts, the greater (at least up to a point of diminishing returns) your improvements in insulin clearance... obviously just a hypothesis that needs experimental verification.
![]() |
| Do not butter your potatoes to "decrease their glycemic index" it'll just reduce the spike, while prolonging the exposure time - which is the real problem, not the spike | more |
- Diet-wise, it may surprise you that the effects of the type of dietary fat seem to be negligible (Xiao 2006), what we do know, however, is:
- Elevated levels of free-fatty-acid levels in the blood, as they tend to occur especially in sedentary individuals on high carb + high fat diets, will directly impair the clearance of insulin by the liver - so don't be the guy/gal who combines fat and carbs, because "it's less insulinogenic", seriously bad idea (learn more)
- Likewise a bad idea (in terms of optimal insulin clearance) is the consumption of beverages that will increase your NAFLD risk, such as energy drinks, soda, other sugar-sweetened beverages and/or alcopops, which are all really high in liver-clogging fructose and/or alcohol and thus prone to induce the kind of liver health impairments that have been shown to be consistently associated with both insulin resistance and reduced insulin clearance (Alwahsh 2014);
- Unfortunately, there's relatively little we know about the effects of supplements on insulin clearance that are independent of decreases in liver or body fat. What we do know is this:
- Some evidence suggests that TUDCA (the bile acid component that people take alongside oral steroids and sometimes for liver-health, in general) will animate your liver to produce extra amounts of insulin-degrading enzyme (IDE | Vettorazzi 2017) and should thus promote insulin clearance
- There's also rodent data showing that the green tea catechin EGCG will significantly increase insulin clearance (Gan 2015)... albeit in animals with NAFLD, which is why we should be extra careful with generalizations (re-read my recent post about potential detrimental effects of overdosing on EGCG)
- Zinc could be a less beneficial supplement as its proven beneficial effects on glucose management, may actually be a result of impaired or, as I should write, reduced insulin clearance (Maruthur 2015; Rutter 2016). If that's true, this would be yet another reason for insulin sensitive athletic individuals to stick to the RDA instead of going "full bro" and taking 50mg of zinc or more per day.
- A problem similar to the one I've just described for zinc has also been suggested for the highly insulinogenic IGF-1 boosting whey and casein proteins (Ullrich 1986; Hoppe 2005) - keep in mind this still has the status of a hypothesis, so don't freak out, yet!
- In the absence of detailed studies that investigate the effects on insulin clearance directly, though, it is impossible to tell how physiologically relevant this effect actually is - not the least because the effect on peak insulin is "whey more" (pun intended | You remember that "Whey is more insulinogenic than white bread", do you?) pronounced than any (potential) effect on the clearance rate of insulin.
I think I should point out, though, that even a latent effect on insulin clearance could explain the bouts of reactive hypoglycemia some people tend to get hours after the ingestion of large boluses of isolated (=no or few additional carbs in the meal) whey protein.![]()
Figure 4: The 2002 study by Calber et al., conducted in healthy adults (three men and three women), is only one out of many studies which suggest that the decrease in postprandial glucose levels with whey/dairy protein comes at the expense of elevated insulin levels (Calbet 2002) - whether that's a problem is context- and subject-specific, but in conjunction with an existing inhibition of insulin clearance (not present in the healthy subjects of the study at hand), it could prolong the time people spend in a hyperinsulinemic state.
What appears to be clear is that this effect - assuming it exists - is not a result of an exaggerated GLP-1 response (which is what rodent studies suggested). That's at least what a 2007 study Meier et al. designed specifically to elucidate the interaction between GLP-1 and insulin clearance in man seems to suggest (Meier 2007). However, a single study doesn't "disprove" a hypothesis once and for all, and both, the physiological relevance of these effects in health and disease as well as the interaction with other incretin hormones that are increased in response to high (dairy) protein intakes should be investigated in future studies.
The previous list is not intended to be comprehensive and could be extended, maybe not endlessly, but at least significantly by including the effects of estrogen (up | Van Pelt 2003), thyroid health (up w/ hyper | Dimitriadis 1985) , growth hormone (down | Eli 1987), anorexia or extreme dieting (up | Zuniga-Guajardo 1986) and so on and so forth... but you know what? That's it for today. After all, I started writing this article just to provide some evidence that the claim "insulin clearance is often overlooked, but may well matter" I made on the Muscle Engineer Podcast is nothing I've dreamed up the night before the interview, which should be up and available or download on iTunes & co either today or tomorrow ;-)
![]() |
| Episode #16 of the Muscle Engineer Podcast should be up this weekend. |
That's why I would like to (re-)emphasize that I am not suggesting that managing one's insulin clearance is the be-all-end-all of glucose management and diabetes protection. It is, however, just like insulin itself, an important determinant of optimal (gluco-)metabolic health that has hitherto (in my humble opinion) gotten way too little attention in both, the pro- and bro-science community.
So, ideally, someone from the former group of people feels inspired to include insulin clearance rates in his/her future research so that we can start putting a number on its influence on health and disease, as well as more vain endeavors like getting ripped, jacked or whatever else your current life-goal may be | Comment on Facebook!
- Alwahsh, Salamah Mohammad, et al. "Combination of alcohol and fructose exacerbates metabolic imbalance in terms of hepatic damage, dyslipidemia, and insulin resistance in rats." PloS one 9.8 (2014): e104220.
- Bratusch-Marrain, P. R., et al. "Acetyl-salicylic acid impairs insulin-mediated glucose utilization and reduces insulin clearance in healthy and non-insulin-dependent diabetic man." Diabetologia 28.9 (1985): 671-676.
- Benzi, Luca, et al. "Insulin degradation in vitro and in vivo: a comparative study in men: evidence that immunoprecipitable, partially rebindable degradation products are released from cells and circulate in blood." Diabetes 43.2 (1994): 297-304.
- Bonora, Enzo, et al. "Decreased hepatic insulin extraction in subjects with mild glucose intolerance." Metabolism 32.5 (1983): 438-446.
- Calbet, Jose AL, and Dave A. MacLean. "Plasma glucagon and insulin responses depend on the rate of appearance of amino acids after ingestion of different protein solutions in humans." The Journal of nutrition 132.8 (2002): 2174-2182.
- Campioni, Marco, et al. "Minimal model assessment of hepatic insulin extraction during an oral test from standard insulin kinetic parameters." American Journal of Physiology-Endocrinology and Metabolism 297.4 (2009): E941-E948.
- Dimitriadis, G., et al. "Effect of thyroid hormone excess on action, secretion, and metabolism of insulin in humans." American Journal of Physiology-Endocrinology And Metabolism 248.5 (1985): E593-E601.
- Gan, Lu, et al. "Green tea polyphenol epigallocatechin-3-gallate ameliorates insulin resistance in non-alcoholic fatty liver disease mice." Acta Pharmacologica Sinica 36.5 (2015): 597.
- Goodarzi, Mark O., et al. "Variation in the gene for muscle-specific AMP deaminase is associated with insulin clearance, a highly heritable trait." Diabetes 54.4 (2005): 1222-1227.
- Goodarzi, Mark O., et al. "Fasting insulin reflects heterogeneous physiological processes: role of insulin clearance." American Journal of Physiology-Endocrinology and Metabolism 301.2 (2011): E402-E408.
- Hoppe, C., et al. "High intakes of milk, but not meat, increase s-insulin and insulin resistance in 8-year-old boys." European Journal of Clinical Nutrition 59.3 (2005): 393.
- Ipp, Eli, et al. "Somatostatin impairs clearance of exogenous insulin in humans." Diabetes 36.5 (1987): 673-677.
- Kaga, Hideyoshi, et al. "Correlates of insulin clearance in apparently healthy non-obese Japanese men." Scientific Reports 7.1 (2017): 1462.
- Kurauti, Mirian A., et al. "Acute exercise improves insulin clearance and increases the expression of insulin-degrading enzyme in the liver and skeletal muscle of Swiss mice." PloS one 11.7 (2016): e0160239.
- Kurauti, Mirian A., et al. "Interleukin-6 increases the expression and activity of insulin-degrading enzyme." Scientific reports 7 (2017): 46750.
- Koschorreck, Markus, and Ernst Dieter Gilles. "Mathematical modeling and analysis of insulin clearance in vivo." BMC systems biology 2.1 (2008): 43.
- Maruthur, Nisa M., et al. "Effect of zinc supplementation on insulin secretion: interaction between zinc and SLC30A8 genotype in Old Order Amish." Diabetologia 58.2 (2015): 295-303.
- Meier, Juris J., Johannes D. Veldhuis, and Peter C. Butler. "Pulsatile insulin secretion dictates systemic insulin delivery by regulating hepatic insulin extraction in humans." Diabetes 54.6 (2005): 1649-1656.
- Meier, Juris J., et al. "Reduction of hepatic insulin clearance after oral glucose ingestion is not mediated by glucagon-like peptide 1 or gastric inhibitory polypeptide in humans." American Journal of Physiology-Endocrinology and Metabolism 293.3 (2007): E849-E856.
- Nagamani, Manubai, et al. "Effects of raloxifene on insulin sensitivity, β-cell function, and hepatic insulin extraction in normal postmenopausal women." Fertility and sterility 89.3 (2008): 614-619.
- Osei, Kwame, et al. "Impaired insulin sensitivity, insulin secretion, and glucose effectiveness predict future development of impaired glucose tolerance and type 2 diabetes in pre-diabetic African Americans: implications for primary diabetes prevention." Diabetes Care 27.6 (2004): 1439-1446.
- Pivovarova, Olga, et al. "Hepatic insulin clearance is closely related to metabolic syndrome components." Diabetes care 36.11 (2013): 3779-3785.
- Ramakrishnan, Sadeesh K., et al. "Fenofibrate decreases insulin clearance and insulin secretion to maintain insulin sensitivity." Journal of Biological Chemistry 291.46 (2016): 23915-23924.
- Rossell, R., et al. "Reduced hepatic insulin extraction in obesity: relationship with plasma insulin levels." The Journal of Clinical Endocrinology & Metabolism 56.3 (1983): 608-611.
- Rutter, Guy A., et al. "Intracellular zinc in insulin secretion and action: a determinant of diabetes risk?." Proceedings of the Nutrition Society 75.1 (2016): 61-72.
- Tamaki, Motoyuki, et al. "The diabetes-susceptible gene SLC30A8/ZnT8 regulates hepatic insulin clearance." The Journal of clinical investigation 123.10 (2013): 4513-4524.
- Tiikkainen, Mirja, et al. "Effects of rosiglitazone and metformin on liver fat content, hepatic insulin resistance, insulin clearance, and gene expression in adipose tissue in patients with type 2 diabetes." Diabetes 53.8 (2004): 2169-2176.
- Tuominen, Juha A., Pertti Ebeling, and V. A. Koivisto. "Exercise increases insulin clearance in healthy man and insulin‐dependent diabetes mellitus patients." Clinical Physiology and Functional Imaging 17.1 (1997): 19-30.
- Turnheim, K., and W. K. Waldhäusl. "Essentials of insulin pharmacokinetics." Wiener Klinische Wochenschrift 100.3 (1988): 65-72.
- Ullrich, Axel, et al. "Insulin‐like growth factor I receptor primary structure: comparison with insulin receptor suggests structural determinants that define functional specificity." The EMBO journal 5.10 (1986): 2503-2512.
- Van Pelt, Rachael E., et al. "Intravenous estrogens increase insulin clearance and action in postmenopausal women." American Journal of Physiology-Endocrinology and Metabolism 285.2 (2003): E311-E317.
- Wiesenthal, Stephanie R., et al. "Free fatty acids impair hepatic insulin extraction in vivo." Diabetes 48.4 (1999): 766-774.
- Xiao, C., et al. "Differential effects of monounsaturated, polyunsaturated and saturated fat ingestion on glucose-stimulated insulin secretion, sensitivity and clearance in overweight and obese, non-diabetic humans." Diabetologia 49.6 (2006): 1371-1379.
- Zuniga-Guajardo, S., P. E. Garfinkel, and B. Zinman. "Changes in insulin sensitivity and clearance in anorexia nervosa." Metabolism 35.12 (1986): 1096-1100.















