![]() |
| Isn't HIIT for everyone? Study suggests: Effective- and usefulness of high intensity interval training depend on age and fitness level. |
Good! Accordingly, you are not surprised that researchers from tie California State University San Marcos and the Griffith University at the Gold Coast inQueensland, Australia, teamed up to identify individual HIIT-responders and HIIT-non-responders.
You can learn more about HIIT at the SuppVersity
"It was hypothesized that frequency of ‘‘non-responders’’ would be less than that typically reported after endurance training" (Astorino. 2014)The ultimate goal obviously is the development of individualized exercise prescription which may help optimize responses to training and overall health status of various individuals.
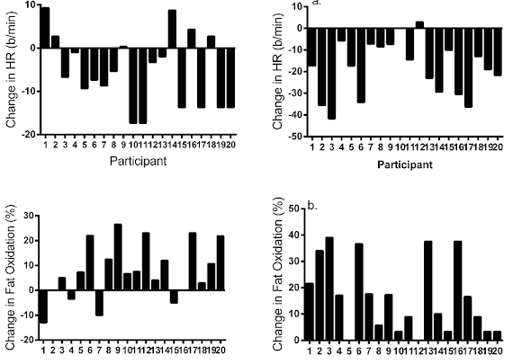
In this particular case this meant determining whether the 20 habitually-active men and women who participated in part 1 of the study would show inter-individual as well as inter-group differences compared to the 20 non-obese sedentary women from part 2 of the study.
- In study 1, recreationally-active men and women underwent 2 wk of Wingate-based standardized interval treatment. At baseline and after completion of training, measures of VO2max, HR, and lipid oxidation were determined on separate days at least 24 h apart. Participants were required to maintain their habitual training status which was confirmed with a training log, and time of day was standardized within subjects across all trials.
In study 2, sedentary young women completed 12 wk of a more tolerable form of interval training at intensities equal to 60–80% or 80–90%Wmax, during which these variables were assessed at baseline and every 3 wk of the study over two separate sessions. They were required to refrain from additional physical activity other than activities of daily living outside of the study. Exercise was performed at approximately the same time of day (#60 min) within participants. In both studies, body composition was assessed pre- and post-training using waist:hip ratio and sum of threeskinfolds (chest, abdomen, thigh for men and triceps, suprailiac, and thigh for women) following standardized procedures.![]()
SuppVersity Suggested Read: "More HMB Free Acid Science: Now It's Also Good For High Intensity Interval Training (HIIT) Says the Latest Sponsored Trial W/Out Calcium HMB Control in Young Men & Women" | read more
![]() |
| Figure 1: Changes in HR and fat oxidation in trained (left, part 1) & untrained (right, part 2) individuals (Astorino. 2014) |
"Frequency of improved fat oxidation was similar (60–65%) across regimens. Only one participant across both interventions showed nonresponse for all variables." (Astorino. 2014)Interestingly, the vaseline values of VO2 max, exercise HR, respiratory exchange ratio, and body fat were significant predictors of adaptations to interval training:
- Positive predictors of increases in VO2max were low baseline fitness (difficult to improve what's already top) and high effort during the wingate test.
- Positive predictors of improved heart rate was a high age and a high baseline heart rate
- Positive predictors of increases in fat oxidation were a low baseline physical activity and a low age.
I can only repeat my recommendations: If you are sedentary and obese, go slowly, it's likely you benefit much more from chronic low intensity interval training or even steady state exercise. If you are lean and athletic, HIIT it hard, but be careful! If you are also lifting weights, it may make more sense to do some regular cardio (LISS) and one or another plyometrics workout if ultimate leanness and the perfect body are your goals.
Bottom line: The study at hand does not deliver the promised experimental evidence one could use to program a personalized training regimen. In the end, it the design is just too limited to provide the corresponding information.What the study did do, though, is confirm the already well-known associations between current effort and previous laziness with respect to the effective "gain" you can make in the gym or wherever else you may be working out: The lower your baseline fitness, the higher your fatness and the lower your activity levels the greater the impact of both: Low intensity long-term and high intensity short-term HIIT training. If you are the lean athletic type you will thus have to go really "high" on the intensity side to trigger a response... And maybe, just maybe, doing some LISS + weights is the better idea to get the body you're dreaming of, anyways. For me personally,it is the more sustainable way of training.
- Astorino TA, Schubert MM (2014) Individual Responses to Completion of Short-Term and Chronic Interval Training: A Retrospective Study. PLoS ONE 9(5): e97638.






