![]() |
| Oxytocin as fat loss adjuvant? We are not there, yet, but maybe in 5 years. |
Over the last decades scientists have begun to investigate oxytocin's role in various behaviors, including orgasm, social recognition, pair bonding, anxiety, and maternal behaviors, the direct effects of oxytocin on muscle, bone, adipose tissue and metabolism, on the other hand, have been discovered only recently.
OT drops as you age. Learn how to defy aging at the SuppVersity
Oxytocin is also necessary for muscle maintenance and regeneration! Why? Well, oxytocin decreases with age and this decrease doesn't just go hand in hand with a decline in muscle mass. As Elabd et al. were able to show it may actually be triggered by the decline in OT, which improves muscle stem cell proliferation in vivo after injury, rejuvenates muscle stem cell function in injured tissue and improves myogenic progenitor cell proliferation via activation of the MAPK/ERK pathway. And despite the fact that Elabd et al. were also able to show that in mice lacking oxytocin muscle regeneration is impaired, I cannot tell for sure that "supplementation" or having sex will accelerate muscle recovery in young individuals.
What the provision of oxytocin did do, though, was to reverse the ovariectomy-induced fat mass gain that had also been observed in female mice before. In fact, the provision of 1mg/kg of OT for 8 weeks- reversed the 50% increase in fat volume due to "castration" (that's only important for "manopause" or men with hypogonadism who are afraid of TRT),
- led to additional decreases in fat mass in sham operated mice (that's important because it would imply that normal men would benefit, as well - not just eunuchs) and
- improved the ratio of subcutenous (="benign") to visceral body fat (that's important for everyone, because a reduced visceral to subcutaneous fat mass ratio is associated with reduced diabetes and CVD risks at the same level of total body fat)
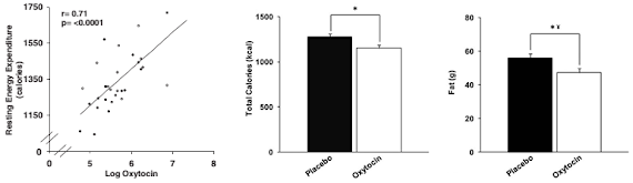
to a similar extend as it was previously observed in female mice. Specifically in view of its ability to decrease the fat mass in sham operated ale mice, as well as its recently reported ability of oxytocin to "reduces caloric intake in men," (Lawson. 2015) and it's correlation with resting energy expenditures in women (Lawson. 2014), the "orgasm" hormone may in fact be a promising fat loss adjuvant for men and women.
As a bone builder, however, oxytocin at a human equivalent dose of 0.08mg/kg body weight appears to works only in females. And while its bone preserving effects may be age-specific, its effects on muscle may depend on age and the age-induced decline in basal oxytocin production; a non-specific recommendation to take "supplemental" oxytocin does thus appear unwarranted.
What may appear warranted, though, is to suggest oxytocin treatments for children and adults with autism. In this population abnormal OT levels are the rule (Modahl. 1998) which is why it is hardly surprising that studies have repeatedly OT to promote social behavior (Andari. 2010), increase retention of social cognition (Hollander. 2007) and improve "mind reading", i.e. the ability to understand what others think and how they feel (Domes. 2007)
![]() |
| Figure 2: Oxytocin correlates with resting energy expenditure in women (left | Lawson. 2015) and suppresses energy (middle) and more specifically fat intake in men (right | Lawson. 2015) |
What may appear warranted, though, is to suggest oxytocin treatments for children and adults with autism. In this population abnormal OT levels are the rule (Modahl. 1998) which is why it is hardly surprising that studies have repeatedly OT to promote social behavior (Andari. 2010), increase retention of social cognition (Hollander. 2007) and improve "mind reading", i.e. the ability to understand what others think and how they feel (Domes. 2007)
Speaking of "reaching the brain", I would like to emphasis that next to direct injections into the brain which are obviously not feasible, the intranasal administration of oxytocin which was also used in the human studies by Lawson et al. (2014 & 2015) is probably the best way to up your levels (MacDonald. 2011) if you cannot or do not want to take the "natural" route to elevated levels of the orgasm hormone | Comment on Facebook!
References:
- Andari, Elissar, et al. "Promoting social behavior with oxytocin in high-functioning autism spectrum disorders." Proceedings of the National Academy of Sciences 107.9 (2010): 4389-4394.
- Beranger, Guillaume E., et al. "Oxytocin reverses ovariectomy-induced osteopenia and body fat gain." Endocrinology 155.4 (2014): 1340-1352.
- Beranger, Guillaume E., et al. "Oxytocin reverses osteoporosis in a sex dependent manner." Name: Frontiers in Endocrinology 6 (2015): 81.
- Domes, Gregor, et al. "Oxytocin improves “mind-reading” in humans." Biological psychiatry 61.6 (2007): 731-733.
- Elabd, Christian, et al. "Oxytocin is an age-specific circulating hormone that is necessary for muscle maintenance and regeneration." Nature communications 5 (2014).
- Hollander, Eric, et al. "Oxytocin increases retention of social cognition in autism." Biological psychiatry 61.4 (2007): 498-503.
- Lawson, Elizabeth A., et al. "Oxytocin secretion is related to measures of energy homeostasis in young amenorrheic athletes." The Journal of Clinical Endocrinology & Metabolism 99.5 (2014): E881-E885.
- Lawson, Elizabeth A., et al. "Oxytocin reduces caloric intake in men." Obesity (2015).
- MacDonald, Elayne, et al. "A review of safety, side-effects and subjective reactions to intranasal oxytocin in human research." Psychoneuroendocrinology 36.8 (2011): 1114-1126.
- Noble, Emily E., et al. "Oxytocin in the ventromedial hypothalamic nucleus reduces feeding and acutely increases energy expenditure." American Journal of Physiology-Regulatory, Integrative and Comparative Physiology 307.6 (2014): R737-R745.









