Quantcast
Channel: SuppVersity - Nutrition and Exercise Science for Everyone
Viewing all articles
Browse latest Browse all 1497

Strength & Conditioning Update - Sep '15: Reduced Rest, 200kcal Extra-EE (+30%) | Dehydration Turns Sprint to Jog | Knee Wraps More Power, Lower ROM & Vastus Activity

$
0
0
No, this is not the first time you read about "battling the rope" and how it could be an excellent form of fat burning and conditioning HIIT training. In my previous article "Want to Get Ripped & Strong? 'Battling the Rope' Could be THE Exercise to Do!" I've already discussed the proven long-term benefits of this intense conditioning exercise | learn more.
Usually, I handpick the three best studies for overviews like this, but with the Journal of Strength and Conditioning research, this is not always easy. With the September issue, only some studies are interesting, and there are no real "blockbuster" that would deserve an article on their own. Don't get me wrong. There's still interesting information, there but I guess what's most interesting is significantly more open to debate than usually.

Accordingly, today's research update contains my very personal favorites from September 2015 issue of this journal. Well, my favorites minus one study by Soares et al. (2015) about which I've written in my April 2015 article "Single- vs. Multi-Joint, Rookie vs. Gymrat - How Much Rest is Required in Trained Athletes if Noobs Need 72h or More?" (read it!), when the study was published initially as an online exclusive "ahead of print" print article five months ago.
Read more about exercise-related studies at the SuppVersity

Tri- or Multi-Set Training for Body Recomp.?

Aug '15 Ex.Res. Upd.: Nitrate, Glycogen, and ...

Pre-Exhaustion Exhausts Your Growth Potential

Full ROM ➯ Full Gains - Form Counts!

Body Pump, Cardio & Exercise Expenditure

Study Indicates Cut the Volume Make the Gains!
  • Rest intervals and their effects on metabolism and velocity loss during battling the rope and ballistic bench press exercises - With the studies by Ratames, et al. (2015) and Garcia-Ramos et al. the latest issue of the JSC contains not one but two studies that deal with the effects of reducing the inter-set (rope) and inter-rep (ballistic bench press = "bench throws") times.
    Figure 1: Aerobic and anaerobic energy expenditure with 2 and 1 minute rest between 30s bouts of battling the rope in the welve men and 10 women (age = 20.8 6 1.3 years) who participanted in Ratamess study (ibid. 2015).
    While Ratames' study shows the expected increase in energy expenditure and fatty oxidation, as well as the lactate levels and heart rates of the female subjects, when the rest-time between the 8 sets of 30-second intervals (15 seconds of single-arm waves and 15 seconds of double-arm waves) of battling the rope were reduced from two to one minute, the results of the study by Garcia-Ramos (2015) require a correlation analysis to confirm that increasing the inter-set rest during "bench throws" (=ballistic bench presses) with 30%RM, 40%RM, or 50%RM from 6 to 12 seconds ameliorated the otherwise linear decrease in the maximal number of reps significantly.

    Want to Design a Killer Workout? Reduce the Rest Times and Burn 37% More Energy During Your Workout!
    In view of the effect that both outcomes where expected, it may be most intriguing that the 33% and 32% increases in total energy expenditure in the men and women (respectively) in Ratamess study were significantly more pronounced than what one may have expected from a mere reduction in rest times. Based on Ratamess previously discussed study that involved a full body resistance training workout and increases in energy expenditure of up to 37%, SuppVersity veterans should not be too surprised by the efficacy increase due to the reduction of the rest times. One thing you should keep in mind, however, is that any decrease in rest times will also lead to an increase in fatigue. In the Ratamess study, the increased in the rate of perceived exertion was 14% in the female and 21% in the male subjects.
  • No, hydration doesn't matter for marathoners, only - While we usually think of endurance athletes when we talk about the effects of (de-)hydration on exercise performance, the reality is that everyone can experience the ergolytic (=performance decreasing) effects of dehydration. Against that background, it's sad that the number of studies that quantify these effects is very limited. With Davies et al.'s (2015) latest contribution we do now have the first detailed study on the effects of dehydration on repeated sprint performance which is highly relevant for almost every teamsport and may also give us insights into the effects of dehydration on high(er) rep strength training.

    In their study, the researchers from several universities had eight male collegiate baseball players complete intermittent sprints either dehydrated (DEHY) by 3% body mass or euhydrated (EU). To induce the state of dehydration the men were subjected to heat with controlled fluid restriction occurring 1 day before the trial. During the actual trial, which was repeated with appropriate time for recovery, the participants completed twenty-four 30-m sprints divided into 3 bouts of 8 sprints with 45 seconds of rest between each sprint and 3 minutes between each bout.
    SuppVersity Suggested: Learn why sodium restriction in athletes is a stupid idea (learn more)
    The study outcomes, perceived recovery status (PRS), heart rate (HR), ratings of perceived exertion (RPE) (0–10 OMNI scale), and perceived readiness (PR) scale, as well as the session RPE (SRPE), were recorded after every sprint, and 20 minutes after completing the entire session, respectively.
    Figure 2: Sprint times and rates of perceived exertion after each bout of exercise (Davies. 2015).
    The authors' 2 (condition) × 3 (bout of sprints) repeated-measures ANOVA revealed a significant main effect of condition on mean sprint time (p = 0.03), HR (p < 0.01), RPE (p = 0.01), and PR (p = 0.02).

    In addition, the scientists' post hoc tests showed significantly faster mean sprint times for EU vs. DEHY during the second (4.87 ± 0.29 vs. 5.03 ± 0.33 seconds; p = 0.01) and third bouts of sprints (4.91 ± 0.29 vs. 5.12 ± 0.44 seconds; p = 0.02). Heart rate was also significantly lower (p ≤ 0.05) for EU during the second and third bouts. Post hoc measures also showed significantly impaired (p ≤ 0.05) feelings of recovery (PRS) before exercise and increased (p ≤ 0.05) perceptual strain before each bout (PR) during the second and third bouts of repeated sprint work (i.e., RPE and PR) and after the total session (SRPE) in the DEHY condition.

    Every Sip of Plain Water Can Reduce Your Type II Diabetes Risk | more
    It is thus hard to argue with Davis' conclusion that all three observed effects, i.e. the impaired sprint performance, the negatively altered perception of recovery status before exercise, and the increased RPE and HR response are reasonable arguments to make sure you're always staying well hydrated. Plus: If you think of the recently discussed study on the way hydration can help you avoid type II diabetes (read it again), this advise is just as relevant for non-athletes.
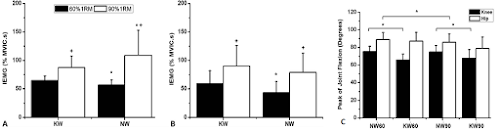
  • Expected but often disclaimed reduction in vastus lateralis activity when squatting with knee wraps - Ok, ok... there's one thing that's missing here: The reduction occurs if the weight that's used with and without the knee wraps is identical. If, however, you are able to squat 10% more, which is very likely, since studies indicate increases of >20% in maximal isometric force during the squat exercise, independent of the level of stiffness of the knee wrap (Gomes. 2014), the results of Gomes' latest study (2015) are no real reason to worry about your gains.
    Figure 3: Changes in vastus lateralis (A), gluteus maximimus (B) EMG activity and knee and hip angles (C) when doing back squats with (KW) or without (NW) knee wraps (Gomes. 2015).
    Eventually it would just have been a reduction in vastus lateralis activity, anyway. For the gluteus the activity doesn't change, anyways; and that in spite of the fact that the range of motion (the knee angle | Figure 3, right, black bars) is reduced when you're squatting with knee wraps (KW) vs. without wraps (NW).
Bottom line? You don't really need one, do you? So, instead of giving you another summary of the already dicussed implications of the (in part unsurprising) results of the previously discussed studies, I am inclined to give you a second serving in form of an extra-study.

Figure 4: Hooper and his colleagues from the Ohio State University believe that the increased fast ball, and driving / approach shot accuracy in high-level baseball pitchers and golfers they observed when the athletes wore upper body compression garments is mediated by improved proprioceptive cues during upper-body movements (Hooper. 2015).
The study was conducted at the Ohio State and dealt with the effects of upper-body (!) compression garment on athletic performances. Now, while we do have ample evidence of often subtle, but significant benefits of lower body compression garments, the study at hand is the first one I have read that reports significant performance improvements in eleven Division I collegiate pitchers (age: 21.0 ± 2.9 years; height: 181.0 ± 4.6 cm; weight: 89.0 ± 13.0 kg; body fat: 12.0 ± 4.1%) and 10 Division I collegiate golfers (age: 20.0 ± 1.3 years; height: 178.1 ± 3.9 cm; weight: 76.4 ± 8.3 kg; body fat: 11.8 ± 2.6%) in terms of fastball accuracy (30% improvement) and driving (21%) as well as accuracy (17%), respectively. That's quite a significant benefit for high-level athletes - an effect of which the authors, Hooper et al. (2015), believe that it was "most likely mediated by improved proprioceptive cues during upper-body movements" (Hooper. 2015) | Comment on FB!
References:
  • Davis, J.-K, Laurent, CM, Allen, KE, Green, JM, Stolworthy, NI, Welch, TR, and Nevett, ME. Influence of dehydration on intermittent sprint performance. J Strength Cond Res 29(9): 2586–2593, 2015
  • García-Ramos, A, Padial, P, Haff, GG, Argüelles-Cienfuegos, J, García-Ramos, M, Conde-Pipó, J, and Feriche, B. Effect of different interrepetition rest periods on barbell velocity loss during the ballistic bench press exercise. J Strength Cond Res XX(X): 000–000, 2015 
  • Gomes, Willy Andrade, et al. "Acute effects on maximal isometric force with and without knee wrap during squat exercise." Int J Sports Sci 4.2 (2014): 47-49.
  • Hooper, DR, Dulkis, LL, Secola, PJ, Holtzum, G, Harper, SP, Kalkowski, RJ, Comstock, BA, Szivak, TK, Flanagan, SD, Looney, DP, DuPont, WH, Maresh, CM, Volek, JS, Culley, KP, and Kraemer, WJ. Roles of an upper-body compression garment on athletic performances. J Strength Cond Res 29(9): 2655-2660, 2015
  • Ratamess, NA, Smith, CR, Beller, NA, Kang, J, Faigenbaum, AD, and Bush, JA. Effects of rest interval length on acute battling rope exercise metabolism. J Strength Cond Res 29(9): 2375–2387, 201
  • Soares, S, Ferreira-Junior, JB, Pereira, MC, Cleto, VA, Castanheira, RP, Cadore, EL, Brown, LE, Gentil, P, Bemben, MG, and Bottaro, M. Dissociated time course of muscle damage recovery between single- and multi-joint exercises in highly resistance-trained men. J Strength Cond Res 29(9): 2594–2599, 2015.

Viewing all articles
Browse latest Browse all 1497

Trending Articles