![]() |
| Funny or obscene? A woman w/ low vitamin B and thus fortified cornflakes is among the "top images" Google will show you, when you search for B-vits |
In general, a whole foods diet, as recommended in previous SuppVersity articles will easily cover the B-vitamin needs of the average sedentary and physically active individual - in spite of minimally increased requirements for B2 & B6, in particular (Manore. 2000; Woolf. 2008).
You can learn more about this topic at the SuppVersity
The initially mentioned inability to convert glucose to glycogen and to store the latter in the liver, for example, would already set you up to increases in blood glucose levels. The latter will in turn increase the urinary loos of the water-soluble vitamins, so that a deficiency in one of the initially named B-vitamins could trigger a whole "pro-diabetic" cascade that leaves the by then (pre-)diabetic individual deficient even in those of the B-vitamins of which he or she is actually getting enough from his or her diet (+ supplements).
![]() |
| Annual spending Alzheimer patients >65y in the US from 2010 to 2050 (projection, in billion U.S. dollars; Alzheimer's Association. 2010) |
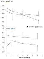
Valerio et al. report that the provision of a lipophilic form of thiamine (benzoyloxymethyl-thiamin) at 50mg/day lead to improvements in HbA1c and reduced insulin requirements in children with type I diabetes (Valerio. 1999) - the difference between the active and the placebo arm of the study did yet not reach statistical significance![]()
Figure 1: Effects of lipophilic thiamine on HbA1c (top) and insulin requirements (bottom) of type I diabetics (Valerio. 1999( - Obrenovich et al. report in a 2003 that thiamine, or rather benfothiamine bocks the oxidative damage due to the presence of excessive amounts of glucose in the blood of a rodent model of diabetes - their results have been replicated in human studies by Stirban et al. an other researchers several times over the past decade (Stirban. 2006)
A very similar picture, i.e. reduced levels in type II diabetics, but no reports of direct metabolic benefits from the provision of supplemental vitamin B5 from randomized controlled human trials, emerges if you do a database search for panthotenic acid.
Mind the vitamin <> vitamin interactions: Even if there is no reason for high dose pantothenic acid supplementation to inhibit the cellular uptake of glucose directly, it's well possible that it messes with glucose metabolism via interactions with other water solube vitamins like vitamin B6 aka pyridoxin, the excretion of which is increasing, whenever the intake of panthothenic acid exceeds an (in humans undetermined) sane threshold.
In fact, the extreme elevation of the insulin levels in the "reload phase" would rather suggest that extreme amount of vitamin B5 will compromise, not improve your insulin sensitivity - contrary to edema, severe fatigue, joint pains, reduced protein metabolism, reduced phosphorus, raised VLDL triglycerides, calcification (from calcium pantothenate), dehydration, gastrointestinal symptoms, and depression, a decreased insulin sensitivity is yet not on the "official list of side effects"* of high panthotenic acid intakes (*by "official" I refer to the lists everyone copies ad pastes from the major health information outlets on the Internet). And what about B6? It's in all my supplements, so it must be good!
If I had to write the bottom line to today's installment of the "There is More to Glucose Control Than Carbohydrates" series now, it would probably be very short and certainly very disappointing for the various supplement junkies out there. Luckily (?) there is still one of the B-vitamins missing: Pyridoxine or vitamin B6 - and you should expect the only B-vitamin that can produce severe toxic effects when it is consumed in very high amounts chronically (peripheral nerve damage) should be able to bring about at least minimal increases in insulin sensitivity / cellular glucose uptake, as well, right?
Well, unfortunately, that's not the case. In 1980, already, a group of scientists from the Gandhi Medical College Hospital in India were able to show that the provision of 40mg of pyrodixine per day had "did not bring about any significant alterations in either the oral glucose tolerance or the insulin response to glucose" in thirteen adult maturity-onset diabetics - and that in spite of the fact that 7 of them were actually vitamin B6 deficient!
Mind the "hidden" B-sources: If you are still concerned that you may not be getting your Bs in, you are probably an OTC supplement junkie. In that case I suggest you briefly take a look at the pre-workout, post- workout and whatever other products in your stack... what? Oh, they all contain 10x the RDA and more of these B-vitamins - that's surprising, right?
A major disappointment? Although this article focused exclusively on the benefits of the water-soluble B-vitamins on glucose control, the results are still paradigmatic for the overall "potency" of vitamin-B-supplements. They are all the rage, but the benefits are overblown, in many cases simply non-existent.
If we discard the well established beneficial effects of benfothiamine on the side-effects of elevated blood glucose levels, and the highly disputed benefits of pyridoxine in diabetic peripheral neuropathies (alleviation of sympthoms, no change in nerve damage; Bernstein. 1988 & 1990), there is actually no reason to even consider taking extra amounts of any or all of these vitamins if you are (a) no diabetic and (b) no junk food eater - and let's be honest, if either (a) or (b) applies you have got more important issues to deal with than potentially suboptimal B-vitamin intakes and their effects on glucose tolerance.
If we discard the well established beneficial effects of benfothiamine on the side-effects of elevated blood glucose levels, and the highly disputed benefits of pyridoxine in diabetic peripheral neuropathies (alleviation of sympthoms, no change in nerve damage; Bernstein. 1988 & 1990), there is actually no reason to even consider taking extra amounts of any or all of these vitamins if you are (a) no diabetic and (b) no junk food eater - and let's be honest, if either (a) or (b) applies you have got more important issues to deal with than potentially suboptimal B-vitamin intakes and their effects on glucose tolerance.
- Bean, William B., et al. "Pantothenic acid deficiency induced in human subjects." Journal of Clinical Investigation 34.7 Pt 1 (1955): 1073.
- Bernstein, A. L., and C. S. Lobitz. "A clinical and electrophysiologic study of the treatment of painful diabetic neuropathies with pyridoxine." Current topics in nutrition and disease (USA) (1988).
- Bernstein, Allan L. "Vitamin B6 in clinical neurology." Annals of the New York Academy of Sciences 585.1 (1990): 250-260.
- Herbison, Carly E., et al. "Low intake of B-vitamins is associated with poor adolescent mental health and behaviour." Preventive medicine 55.6 (2012): 634-638.
- Manore, Melinda M. "Effect of physical activity on thiamine, riboflavin, and vitamin B-6 requirements." The American journal of clinical nutrition 72.2 (2000): 598s-606s.
- Supplee, G. C., R. C. Bender, and Z. M. Hanford. "Interrelated vitamin requirements. The influence of thiamin, riboflavin, pantothenic acid and vitamin B6 on liver glycogen reserves." Journal of the American Pharmaceutical Association 31.7 (1942): 194-198.
- Valerio, G., et al. "Lipophilic thiamine treatment in long-standing insulin-dependent diabetes mellitus." Acta diabetologica 36.1-2 (1999): 73-76.









