![]() |
| Many of these foods contain significant amounts of calcifediol (25OHD). It's thus not as if we would be exposing us to an unknown research chemical, bros. |
In this Vitamin D Research Update, I will address two of these post-hype studies. Both with practical relevance in terms of the prevention and resolution of vitamin D deficiencies:
Learn more about vitamin D at the SuppVersity
- More evidence in favor of the superiority of calcifediol vs. cholecalciferol (vitamin D3) as a supplement to replete low vitamin D levels (Guo 2017) may even suggest that its time to revisit vitamin D3 as the goto form for fortified/functional foods.
You will remember that I've previously addressed the existence and potential usefulness of calcifediol, a prohormone to calcitriol that is produced in the liver by hydroxylation of vitamin D3 (cholecalciferol) - a process that takes approximately 7 days under normal conditions and may be impaired in those who need to normalize their vitamin D levels the most: the obese and metabolically deranged.![]()
What do you need for a high 25OHD picnic at the beach? Eggs! And you know what? Eggs and other foods may kick your D3 supplements' ass.
The results of the study at hand are yet by no means relevant only for sick people. Even healthy paleo folks will love them. After all, we "evolved to consume" 25OHD in our diets... you don't believe it? Well, it's readily available from fish and other dietary sources, I wrote about before.
Moreover, previous studies, while being somewhat inconsistent, have already suggested: calcifediol from foods or supplements is more potent than its more common counterpart, cholecalciferol aka vitamin D3.- Jetter et al. (2014) have studied both the pharmacokinetics of a single dose and chronic supplementation for 15 wk with vitamin D3 and 25(OH)D. Their data showed that longer-term 25(OH)D3 supplementation was superior to vitamin D3 for increasing vitamin D status.
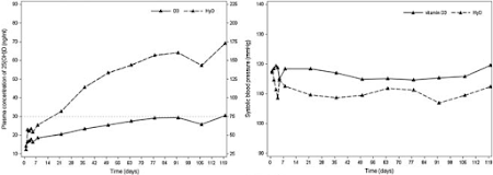
- Bischoff-Ferrari et al. (Bischoff-Ferrari 2012) showed that 20 mg 25(OH)D3/d over 4 mo had significant benefits for lowering systolic blood pressure (SBP) compared with vitamin D3 in 20 healthy postmenopausal women.
Fortification w/ calcifediol produces significantly higher increases in serum "vitamin D" levels than the current "gold standard" vitamin D3 - at least if added to dairy
The above is in essence the message of the corresponding randomized, controlled, 3-way crossover, double-blind, postprandial study, Guo et al. conducted in in 17 men with suboptimal vitamin D status [mean +/- SEM age: 49 +7- 3 y; body mass index (in kg/m²): 26.4 +/- 0.6; and plasma 25(OH)D3 concentration: 31.7 6 3.4 nmol/L].
The subjects were randomly assigned to consume 3 different test meals (4.54 MJ, 51 g fat, 125 g carbohydrate, and 23 g protein), which contained either- a nonfortified dairy drink (control),
- a 20 µg (800IU) 25(OH)D3-fortified (+HyD3) dairy drink, or
- a 20 µg (800IU) vitamin D3–fortified (+D3) dairy drink.
Fellow armchair scientists, please note, neither the "low dosage" nor the fact that it is an acute-response study are "design flaws".
In fact, the 800IU are all that regulatory bodies all around the world will allow being present in one serving of fortified food as it still represents the official RDA for vitamin D. In a similar vein, the acute-response design is in line with the research interest and practically relevant if we assume that a dairy drink like that would be consumed on a daily basis.
Do not forget: We have data from previous longitudinal studies showing that supplementing (vs. fortification) with calcifediol is more effective than vitamin D3 (re-read my previous article about fish for additional points of reference), too. Another reason not to fret about the scientists' choice not to conduct a long-term study (I am sure that will follow, btw).
Furthermore, Heaney et al. have shown that cholecalciferol (D3) is rapidly, i.e. within hours converted to 25OHD, converted - especially if supplied in small(er) quantities to subjects with initially low(ish) levels, subjects like the 17 men in the study at hand. The study at hand is thus an addition to the existing evidence and its results ..."Plasma 25(OH)D3 concentrations (the primary outcome) were significantly higher after the +HyD3 dairy drink was consumed compared with +D3 and control (P = 0.019), which was reflected in the 1.5-fold and 1.8-fold greater incremental area under the curve for the 0–8 h response, respectively. The change in plasma 25(OH)D3 concentrations from baseline to 24 h for the +HyD3 dairy drink was also 0.9-fold higher than the +D3 dairy drink and 4.4-fold higher than the control (P < 0.0001), which were not significantly different from each other" (Gao 2017).
...well worth considering. Based on the results of the study at hand, previous evidence and the previously voiced assumption that fortified foods are consumed on a daily (or almost daily) basis, this result would, after all, suggest that people may maintain more stable and sufficient vitamin D levels at much lower levels of fortification.
Furthermore, replacing vitamin D3 (cholecalciferol) with ready-made 25OHD (calcifediol) in all fortified foods may solve a problem that has, in my humble opinion, hitherto been largely overlooked: the fact that people with certain metabolic diseases will have reduced levels of vitamin D 25-hydroxylase aka CYP2R1, the liver enzyme that converts D3 to calcifediol.![]()
Figure 2: Maximal and absolute changes in 25OHD during the follow-up and at the end of the 24-h follow-up; all expressed in nmol/L over baseline and highly significant (Gao 2017).
In case you're asking yourselves: Yes calcifediol is the same stuff your doctor, or rather, the lab of his choice will measure to judge your vitamin D status. Why haven't we been supplementing with that all along...? Well, Holick identified this D2/D3 metabolite as a marker of vitamin D status in the 70s, but it took decades before scientists got interested in its potential use as a supplement or drug - a drug that will work irrespective of potential limitations/defects of 25-hydroxylation in the liver and an impaired/inhibited conversion of dietary/supplemental vitamin D3.
- In the case of a patient with NAFLD, for example, the +172% higher increase maximal and 93% higher post-24h increases in 25OHD with calcifediol are pitted against a 20% reduced presence of the enzyme in his liver cells (vs. healthy control | Barchetta 2012) - a reduction that will then be of significantly reduced relevance, because the RDA of 25OHD would come in ready-made form from fortified foods. That's particularly true in view of the fact that early studies with vitamin D3 suggest that high doses may suppress the activity of 25-hydroxylase to an extent that the level of 25OHD will actually decline (because the conversion of D3 stalls | this was observed by Mawer et al. as early as in 1976).
Before making a switch from D2/D3 to straight 25OHD (calcifediol), it will yet have to be investigated if overexposure to calcifediol is as safe as overexposure to vitamin D3, which will - when a certain 25OHD level is reached - stop being converted at high rates (Heaney 2017).
- Whether you need "extra D" in your diets may well depend on your job, a one of a kind systematic review suggests (Sowah 2017).
In their latest systematic review, Canadian researchers evaluated vitamin D levels in different occupations and identified groups vulnerable to vitamin D deficiency. At the surface level, their results are not exactly surprising:- Compared to outdoor workers, indoor workers had lower 25OHD levels (40.6 ± 13.3 vs. 66.7 ± 16.7 nmol/L; p < 0.0001), with 78% vs. 48% of the indoor vs outdoor workers being deficient (25OHD<50 mmol/L).
- The mean 25OHD levels were even lower in shift-workers. With 80% of them being deficient, they are also the #1 risk group for having D-levels way below 50 nmol/L.
- Interestingly enough, lead/smelter workers and coalminers had comparatively high levels of 77.8 ± 5.4 and 56.6 ± 28.4, respectively.
The physicians' 25OHD levels are in turn dwarfed by nurses and other healthcare employees who had above average 25OHD levels of 63.4 ± 4.2 nmol/L and 63.0 ± 11.0 nmol/L, respectively. Taken together, medical students, with an overall prevalence of vitamin D deficiency of 72%, were the worst, nurses, with "only" 43%, the best-nourished subjects with a medical background.![]()
Figure 3: Occupational groups, % deficiency (<50 nmol/L), and relative risk (Sowah 2017).
Jobs <> vitamin D -- We know a lot, but we don't know all the details
Unfortunately, potential confounders such as gender and body composition were not consistently reported in the primary studies and were therefore not analyzed. Since the suspect that the descriptions of occupational characteristics may be incomplete, too, the significance of the data from this review remains limited... and still, with respect to the previously discussed study, it clearly suggests that adding calcifediol to cereals, orange juice and milk, instead of the currently used vitamin D3 may have a significant impact on the prevalence of cereal munching non-health-conscious medical students, patients who are served milk and orange juice in the hospital and shift worker who may be eating all of these and other foods that are either already fortified or will be in the future.
![]() |
| Until now, your body fat determined your D3 requirements (learn more); with obesity or rather the metabolic syndrome, in general, and NAFLD, in particular inhibiting the conversion of D3, using straight 25OHD may yet offer a non-fat dependent alternative. |
The existing studies, including those that were conducted in the offspring in our metabolically next relatives, piglets, do yet show that even intakes that are "5 or 10 times the recommended level had no adverse effects on any of the biological parameters measured" (Rosenberg 2016), while the tissue concentrations in muscle+liver increased signif.
Drugs with calcifediol as their main ingredient are yet already sold worldwide (including the US) under more than 10 brand/drug names. It is generally prescribed for hyperparathyroidism secondary to renal impairment, hypocalcemia, and renal osteodystrophy. In these populations long(er)-term studies (>3 months) like Barros et al. (2016) clearly indicate that "[v]itamin D reposition with oral calcifediol, in a bi-weekly [10,000 IU] or monthly regimen, is safe and effective in improving 25(OH)D blood levels and in decreasing PTH". With the already small amount of vitamin D in fortified foods, there's, accordingly, no real reason to assume that a 1:1 replacement and thus an increase in the expected effects on people's serum vitamin D levels of 50 to 80%, compared to vitamin D3, would be harmful - irrespective of milder forms of kidney disease, by the way.
In that, it remains speculative (see previous elaborations wrt Guo's study) if these benefits would indeed be more pronounced in those individuals who - due to metabolic disease and a subsequent lack or deficiency of 25-hydroxylation capacity in the liver - require significantly higher amounts of regular vitamin D3 to achieve normal serum levels | Comment!
- Barchetta, Ilaria, et al. "Liver vitamin D receptor, CYP2R1, and CYP27A1 expression: relationship with liver histology and vitamin D3 levels in patients with nonalcoholic steatohepatitis or hepatitis C virus." Hepatology 56.6 (2012): 2180-2187.
- Barros, Xoana, et al. "Comparison of two different vitamin D supplementation regimens with oral calcifediol in kidney transplant patients." Journal of nephrology 29.5 (2016): 703-709.
- Bischoff‐Ferrari, Heike Annette, et al. "Oral supplementation with 25 (OH) D3 versus vitamin D3: effects on 25 (OH) D levels, lower extremity function, blood pressure, and markers of innate immunity." Journal of Bone and Mineral Research 27.1 (2012): 160-169.
- Calvo, Mona S., Susan J. Whiting, and Curtis N. Barton. "Vitamin D fortification in the United States and Canada: current status and data needs." The American journal of clinical nutrition 80.6 (2004): 1710S-1716S.
- Guo, et al. "A 25-Hydroxycholecalciferol–Fortified Dairy Drink Is More Effective at Raising a Marker of Postprandial Vitamin D Status than Cholecalciferol in Men with Suboptimal Vitamin D Status." The Journal of Nutrition. First published (2017): ahead of print September 20, 2017 < doi: 10.3945/jn.117.254789 >
- Heaney, Robert P., et al. "25-Hydroxylation of vitamin D3: relation to circulating vitamin D3 under various input conditions." The American journal of clinical nutrition 87.6 (2008): 1738-1742.
- Jetter, Alexander, et al. "Pharmacokinetics of oral vitamin D 3 and calcifediol." Bone 59 (2014): 14-19.
- Mawer, E. B., and A. Reeve. "The use of an isolated perfused liver to study the control of cholecalciferol-25-hydroxylase activity in the rat." Calcified Tissue International 22 (1976): 24-28.
- Rosenberg, S. J., et al. "Tolerance evaluation of overdosed dietary levels of 25‐hydroxyvitamin D3 in growing piglets." Journal of animal physiology and animal nutrition 100.2 (2016): 371-380.
- Sowah, et al. "Vitamin D levels and deficiency with different occupations: a systematic review." BMC Public Health (2017) 17:519 < DOI 10.1186/s12889-017-4436-z >










